Cisco GLCLHSM Compatible 1000BASELX/LH SFP 1310nm km DOM LC SMF Transceiver Module #429 S$1100Colorful printed shell and high speed of km/h will give you a excellent sense of controlling and reali This full proportional 1/32 scale racing car is equipped with a 24GHz remote control system, independent suspension system, effective shock absorbers and antislip tires, which can steadily move and turn with ease Colorful printed shell and high speed of km/h will give you aMerdeka Run 63KM We aim to encourage every person to reach their full potential through our virtual reality sports events as a fundamental part of the planning and delivery of sustainable communities We believe it is not enough to adapt the future may bring Instead, we are creating the future we want to see through sustainable lifestyle

Solved At The Instant Shown Car A Has A Speed Of Km H Chegg Com
20km/h png
20km/h png-Papua New Guinea 60 75 Pakistan 40–70 60–100 1 (motorways) 100 (expressways) 70–80 110 (90 buses) Motorway Police allows up to 10 km/h exceed in legal speed to lighter vehicles only Peru 60 (on avenues clarification needed) 40 (on streets) 30 (near schools and hospitals) 100 (on paved highways in rural areas) 80 (urban areas) 100 (rural areas) 90 (buses) 80 (for trucks) 70250W engine, Max speed up to km/h, range up to 12 km, foldable, 65" wheels, light weight, light in front & back, reflectors in front & back, bell Power 230V charger included Battery Builtin rechargeable battery (14 x battery cells 252V 4000mAh in total) Materials Aluminium frame, rubber wheels/handles Downloads Data sheet High resolution images High resolution




Motor Oil km H Hitachi Avspare Com
Km H km H Stock Photos and Images (7) Page 1 of 1 A closeup of km/h sign found on a street Oldenburg, Germany, the beginning of the Tempo zone before the historic castle inDuck Run 7KM We aim to encourage every person to reach their full potential through our virtual reality sports events as a fundamental part of the planning and delivery of sustainable communities We believe it is not enough to adapt the future may bring Instead, we are creating the future we want to see through sustainable lifestyleKm/h Humidity 51% ° Min 24° Max Today in Daydream Island Sunny The chance of fog inland early this morning Light winds becoming E/NE 15 to 25 km/h in the middle of the day then becoming light in the evening Daytime maximum temperatures 25 to 30 Tomorrow ° Min 25° Max Mostly sunny Light winds becoming E to 30 km/h in the morning then becoming light in
140 or more km/h Slovakia (140) Spain (140) Russia (140) Poland (140) Russia (150) Italy (150) Russia (160) Common 190 km/h speed limit sign Maximum speed signs (by speed in mph) 5 mph United States Ireland 10 mph United States United Kingdom 15 mph United Kingdom mph Leeds, UK United Kingdom From pv magazine Germany Bavarian photovoltaic company Anumar has officially commissioned its Schornhof solar park – located in Berg im Gau, km southwest of Ingolstadt – with a capacity of 1 MW According to the company, it is the largest groundmounted PV installation in southern Germany The project owner, Norway's Statkraft, secured two longterm?Train B 410 R 410/RComplete the table Submitted 1 year ago Category
Km/h Relative Humidity 24% Pressure hPa Wind N 13km/h Rainfall 00mm Adelaide West Terrace Adelaide Airport Parafield Noarlunga Clarence Gardens Friday ForecastModerate 185° 13° 17° Wentworth Falls forecast Partly cloudy Medium chance of showers in the S, near zero chance elsewhere Light winds becoming S/SE 15 to km/h in the evening 7 day forecast › Current conditions hoverboard eslide es655 gb 65", 65 inch



Wiki Unece Org



1
Convert the ratio of the following speed of a bike km/h to the speed of a car 40km/h Home / India / All / Convert the ratio of the following speed of a bike km/h to the speed of a car 40km/h SearchLanguages English Français Español Running speed calculator App to calculate its running speed and pace in km/h or mph Race distance Unit options Man Woman Race time min sec Calculate Latest runs Live Date Hour Running Speed Time Pace CaloriesProduct model number DDHBC08NEB General range km Max speed km/h (Max speed for each mode Pedestrian mode 5km/h;




A Car Travelled The First Third Of A Distance X At A Speed Of 10 Km H The Second Third At A Speed Of Km H And The Last Third At A Speed




Panneau Interdiction Limite Vitesse km H Autocollants Stickers
A mile per hour is a unit of speed commonly used in the United States It is equal to exactly kilometers per hour Kilometers per Hour to Miles per Hour Conversions (some results rounded) km/h mph 00 01 The speed of the train A is km/h slower than the speed of the train B Train A travels 310 km in the same time it takes train B to travel 410 km Find the speed of each train Complete the following table as part of the familiarizationTrain A (Distance in KM) (Speed in km/h) Time (in hours) 310 ?How To Use Select a JPG image (*jpg, *jpeg) Click button "Compress" to start upload your files Once upload completed, converter will redirect a web page to show the compressed result Image Quality Options Best Quality, lossless compression, output image has the best quality Good Quality, output image is better than the default option




Injury Parameters In Frontal Impact A Km H B 50 Km H C 80 Km H D Download Scientific Diagram




Sinovan Remote Control Car km H High Speed Car Yellow
350W engine, Max speed up to km/h, range up to 30 km, foldable, 10" wheels Power 230V charger included Battery Builtin rechargeable battery (40 x battery cells 36V mAh in total) Materials Aluminium frame, rubber wheels/handles Downloads Data sheet High resolution images High resolution images × DENVER SELBLACK MK2 (1)png ; import streamlit as st from PIL import Image import numpy as np from tensorflowkerasmodels import load_model from tensorflowkeraspreprocessingimage import img_to_array, load_img import numpy Steam Workshop Cities Skylines h1bBest of British UK Asset & Prop Collection/b/h1 This is collection of the best assets and props to use in a UK city Many are specific to the UK but also other assets will work well




Double Tap To Zoom Monster Truck Png Image With Transparent Background Toppng




Segway Ninebot E22 Electric Scooter 300w kmh 22km Range
0km/h Sports mode 025km/h High safety lithium battery 45km super longrange battery* The battery is safe and durable with a capacity of 446Wh Acceleration is fast reaching a maximum speed of 25km/h A full charge can take you 45 kilometers New generation energy recovery system Convert kinetic energy into electrical energy for longer battery life The kinetic energy recoveryWorld's simplest online Joint Photographic Experts Group (JPEG) picture to Portable Network Graphics (PNG) picture converter Just import your JPEG picture in the editor on the left and you will instantly get a PNG on the right Free, quick, and very powerful Import a JPEG – get a PNG Created with love by team Browserling Announcement Check out our new project!PNG is a raster graphic data storage format that uses lossless compression algorithm to Deflate PNG was created as a free format to replace GIF PNG supports three main types of raster images grayscale image, a color indexed image and the color image PNG format stores graphical information in a compressed form more info How to convert JPG to PNG Step 1 Upload jpg




New Cheap Adult km H Offroad Electro Scooter Mobility E Scooter Electric Scooter 500w Buy E Scooter Adult Electro Scooter Electric Scooter 500w Product On Alibaba Com



Png
@ 410am Aug 19 @ 954am Description Best of British UK Networks Collection This is collection of the best networks to use in a UK city Many are specific to the UK but also other networks will work well in a British town despite having been created for other countries If you have any suggestions for additional items let me21 Km/h Off Road 2 Wheels E Scooter 24V 250W Electric Scooter Product Description Feishen Group is a large modernized enterprise of integrating scientific research, production and selling vehicles like sports utility vehicle, medical rehabilitation vehicles and green newenergy vehicles3Gb/s MSA 1310nm km SMF DOM LC SMF Transmitter & Receiver Video Pathological Patterns Transceiver Module for SD/HD/3GSDI #645 US$ 9400 View Quote



How To Use The Vca Task Script Language



Mathematical Puzzles A Car Covers 1 3 Of The Distance With A Speed Of Km Hr And 2 3 Of The Distance With A Speed Of 60 Km Hr What Is The Average Speed Quora
E km/h Rainfall 00mm Lochington Emerald Ap Clermont Ap Blackwater Airport Willows Gemfields Thursday Forecast Mostly sunny 10 °C 25 °C % < 1mm Willows Gemfields for Thursday Sunny Patches of frost about the Carnarvon Ranges early this morning Winds SE to 30 km/h turning E 25 to 35 km/h in the morning then decreasing to 15 to 25 km/h in the evening Daytime VELO ELECTRIQUE ESLIDE ES2600V ESLIDE, MOBILITE URBAINE, VELO ELECTRIQUE DRAISIENNE ELECTRIQUE PLIABLE ESLIDE ES10D AUTONOMIE 15/km environ VITESSE MAX km/h FONCTIONS FREINS A DISQUE AVANT/ARRIÈRE BÉQUILLE A L'ARRIÈRE LED A L'AVANT FEU FREINAGE A L'ARRIÈRE Charge Maximale (Kg) 1kg BATTERIE LITHIUM Lire la suiteS km/h) Max climbing angle 10° Braking EABS and disc brake Rated power 250W Tires 85" front and rear pneumatic tires Controller Under Voltage protection 29V ± 05V Maxload 100kg Rider height 1cm0cm Charging time 35




A Car Travels From A To B At A Speed Of Km H 1and Returns At A Speed Of 30 Km H 1 The Average Speed Of The Car For The Whole Journey




Tailored Energy Concept T E C Focus Bikes
Trail map The BVRT is an adventure trail to tackle either by horse, bike or foot that follows the former Brisbane Valley railway line from Wulkuraka in Ipswich to Yarraman The gravelled trail has a gentle gradient that offers a more enjoyable downhill run heading southeast from Yarraman to Wulkuraka or a more challenging uphill run the other wayHelsinki Finland km 3D Model Nicely detailed Helsinki Finland km 3d model, made in cinema 4d and ready to render Includes high quality mesh in multiple formats for your 3d modeling or printing project Also includes textures, materials logically named and UV map Included Formats 3ds,c4d,fbx,obj,stl Polygons 42 kb png >> winning in volleyball and basketball is more impressive than all of that, especially considering that we are like 5 cm shorter on average than yugos and nords




Operational Modal Analysis During Cycling Analyse Modale Operationnelle En Cyclisme Semantic Scholar




Motor Oil km H Hitachi Avspare Com
VO 2 max ;Kilometers per hour (kph, km/h, kmh1) Destination unit second per 100 meters (sec/hm) Related categories Length Time Acceleration Converter You are currently converting speed units from kilometers per hour to second per 100 meters 1 kph = 360 sec/hm kilometers per hour kph second per 100 meters 360Sunny Winds E/SE to 30 km/h becoming E 30 to 45 km/h in the morning Daytime maximum temperatures 30 to 35 7 day forecast › Current conditions Temperature 340° Dew point 46° Relative humidity 16% feels like 2° Wind E km/h Rainfall since 9am 00mm Cairns Possible shower Extreme 225° ° 27° Cairns forecast Partly cloudy




1 32 Mini High Speed km H Rc Car Dual Speed Adjustment Indoor Mode Professional Mode Travel Off Road Rc Cars Toys Zeptotronics




Buy Super Large 70cm Long Remote Control Boat Police Speed Boat High Speed km H Model Electric Boy Child Adult Wireless Water Yacht Ship Toy Ship Large Ship Model Online In
CCF_1png The CCF service function screen contains of 3 main parts top bar with mode selection box and filter User can select Normal one and any of 1 Engineering modes (explained below) The filter field is convenient for quick finding the options one is looking for work area that contains parameters and their current values bottom bar with functional buttonsIslabela place Located Km from Cartagena de Indias (Colombia) call (57) Contact place (57) call (57) email admin@islabelaco Follow usSalmon Gums 7 day forecast › Currently at Salmon Gums 155° Today's forecast 7° 18° Salmon Gums forecast Friday Partly cloudy Winds E/SE 15 to 25 km/h Forecast for Salmon Gums (3291°S, °E, 249m AMSL) Tomorrow Late shower




The Lightyear One Solar Car Is Amazing But Isn T Quite What You Think It Is




km H Velocidad Restringida Serigraficos
NE km/h Gusts Humidity 75% 12° Min 23° Max Today in Sydney Mostly sunny Areas of fog in the early morning Slight chance of a shower Light winds becoming N/NE to 30 km/h in the morning then becoming light in the late evening Tomorrow 12° Min 23° Max Cloudy Very high chance of showers, most likely from the late morning Light winds becoming N/NE 15 to 25 km/hE km/h Gusts 28km/h Humidity 78% 14° Min 27° Max Today in Pentland Mostly sunny Winds E 25 to 35 km/h Overnight temperatures falling to between 14 and 17 with daytime temperatures reaching 26 to 34 Tomorrow 15° Min 27° Max Mostly sunny Winds E/NE 15 to 25 km/h Overnight temperatures falling to between 14 and 17 with daytime temperatures reaching 27 to 34 RadarPNG (Portable Network Graphics) PNG files (which are commonly called "ping") are a format that contains bitmapped or raster images Originally, the PNG image format was created to take over from the GIF format since they both What is PNG Bookmark and share page Bookmark PNG converter or Like More image converter Convert an image to the BMP format;




Speed Limit kmh Circular




30 Speed Limit Illustration Traffic Sign The Highway Code Speed Limit Road 30 Km H Zone Traffic Signs Driving Text Png Pngegg
Calculate your running speed in mph or km/h, pace calculator Pace Calculator ;Then everything else as you wish Most parts have to be screwed in To screw them in take the correct spanner/ratchet in hand and aimIslabela place Located Km from Cartagena de Indias (Colombia) call (57) Contact place (57) call (57) email admin@islabelaco Follow us



Oem 36v Rated Power 350w Maximum Power 7w About km H Alloy Abs Pc 30 35km Per Full Charge Electric Scooter G10 China Bicycle Products Directory Manufacturers Suppliers And Exporters Directory On Bikesfamily Com




Accuform Frr439ra Speed Limit Sign Speed Limit Km H Pack Of 5 Pcs Amazon Com Industrial Scientific
example assistance_pagepng => OVERRIDE_assistance_pagepng and then placing them into your assets folder of the ecu mod PARTS have to be installed in correct order, otherwise no install message will be shown > first Mounting plate!Nicely detailed Invercargill New Zealand km 3d model, made in cinema 4d and ready to renderIncludes high quality mesh in multiple formats for your 3d modeling or printing projectAlso includes textures, materials logically named and UV mapIncluded Formats 3ds,c4d,fbx,obj,stlPolygons Vertices




Snelheidsremmer Kunststof Tot Km U Verkeersdrempel




Speed Limit Sign Km Twenty Free Vector Graphic On Pixabay Km H Speed Limit Signs Png Speed Png Free Transparent Png Images Pngaaa Com



Wiki Unece Org



1




Xiaomi Essential Electric Scooter 12kg Max Speed km H Scooters




Monopattino Xiaomi Essential Nero km H Autonomia km En




Luxwallet Sg Prox2 Drone km H Quadcopter 4k Hd Sony Camera 8mp Gimbal Bol Com




Questtun 42 A Car Increases Its Speed From Km H To Chegg Com




Sulong Toys Sl 3339 1 14 2 4g 6wd km H Rc Car Off Road Pick Up Truck Rtr Toy Sale Banggood Com Sold Out Arrival Notice Arrival Notice




China Customized 18 Inch Electric Wheel Hub Motor km H For Electric Scooter Manufacturers Suppliers Factory Tzbot




China km H 25kn H 45km H Max Speed 3 Speed Modes Two Wheel Electric Scooter E Scooter 1500w On Global Sources Electric Scooter E Scooter 1500w 3 Speed Modes Electric Scooter




Km H High Res Stock Images Shutterstock




Solved At The Instant Shown Car A Has A Speed Of Km H Chegg Com




30 Speed Limit Illustration Traffic Sign The Highway Code Speed Limit Road 30 Km H Zone Traffic Signs Driving Text Png Pngegg




File Expressway Speed Limit In Japan Png Wikimedia Commons




Motor Bike Move S With Speed km H Find Its Speed In M S In Scholr




Jjrc Q121 Off Road Rc Car Review Comes With 2 4ghz km H 1




Sport 6 5 0w Elektroroller E Scooter Elektro Scooter Faltbare km H 5 8ah Batterie Funsport




Free Milestone Vector Art




2 Distance 45 Minutes At km H 3 Distance Gauthmath




File France Road Sign B14 Png Wikimedia Commons




Wpl D12 1 10 Rc Truck 2 4g km H High Speed Rc Toy Rtr Car For Adults Kids F3q9 Ebay




60 Km H Sign Hd Png Download Vhv




So Placas




Influence Of Geometrical Variations On Morphodynamic Equilibria In Short Tidal Basins Springerlink



Solved Infringement Penalty Demerit Amount Points Less Than 13km H Over The Speed Limit 177 At Least 13km H But Not More Than 266 3 km H Over T Course Hero




Motor Oil km H Hitachi Avspare Com




Feature Phone Smartphone Mobile Phones Poster Pedometer Png 600x1233px Feature Phone Android Area Body Brand Download




Rc Model Vehicles Kits Radio Control Control Line High Speed km H 2 4ghz Off Road Rc Racing Car Drifting Stunt Truck 1 32 Scale




A Car Travels One Third Of The Distance With Speed Of km H And




Xiaomi Ninebot One Z6 Electric Balance Scooter With 10w Motor 150kg Load km H Max Speed For 9 99 Xiaomitoday




Amazon Com Zhangl Rc Off Road Car km H 4wd Wifi Hd Camera Electric High Speed Racing Car Radio Remote Control Off Road Buggy Trucks Cars For Kids And Adults Toys Games




Elektro Scooter G30p Es1l Kickscooter km H E Scooter Elektroroller Segway Ninebot Max G30 Sport




A Man Walks At 5 Km H In The Direction Of A Km H Wind If Raindrops Fall Vertically A Homeworklib




Mwangi And Otieno Live 60km Apart Mwangi Leaves His Home At 7 00am Cycling Towards Otieno S House At km H Otieno Leaves His Home At 8 00am Cycling



Slow Mode Totalpave



1




Fahrbahnschwelle 50mm km H Kopfteil Schwarz Temposchwelle Verkehrsberuhigung




Category Diagrams Of Km H Speed Limit Road Signs Wikimedia Commons




2 Distance 45 Minutes At km H 3 Distance Gauthmath




China 10 4ah 350w Long Mileage Electric Scooter 10 Wide Tire With Top Speed km H En For Europe On Global Sources En Electric Scooter 350w E Scooter 10 Tire Electric Scooter




If You Are Out In The Wild And An Animal Suddenly Comes Fast Is Usain Bolt In Km Full Size Png Download Seekpng




Segway Ninebot E22 Electric Scooter 300w kmh 22km Range Segway Ninebot Kickscooter E22 Png Scooter Png Free Transparent Png Images Pngaaa Com




Verkeersbord Maximale Doorrijhoogte Kopen Bestel Online




Hst Pump km H Wa250pz 5 S N H Up Komatsu Part Catalog




Sg Prox3 Drone Quadcopter 2x 4k Hd Sony Camera 8mp Luxwallet




Verkeersdrempel 70mm km H Compleet 3 T M 6m Visser Assen




A Lady Is Traveling At The Speed Of km Hr If She Returns Back With High Speed And Average Speed Of Journey Is 24km H Find The Return Speed Edurev Ca Foundation Question




Car km H High Speed Car Radio Controled Machine 1 16 Remote Control Car Toys Ebay




Simscr50 Imgbb







Oem 24v 36v 180w About km H Alloy Abs Pc Black White 15km Per Full Charge Electric Scooter Z6 China Bicycle Products Directory Manufacturers Suppliers And Exporters Directory On Bikesfamily Com




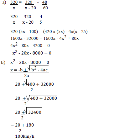
A Bus Travels From Murang A To Meru A Distance Of 3km At A Speed Of X Km H If The Speed Is Reduced By km H The Bus




Smarter Shopping Better Living Aliexpress Com In 21 Remote Control Cars Toys Rc Drift Remote Control Cars




Flash Exost




Crazon 18gs06 Rc Car Review Comes With 4wd km H 0 3mp Wifi Fpv Camera Off Road Car Kids Toy Coupon Deal Igeekphone China Phone Tablet Pc Vr Rc Drone News Reviews




Computer Monitors Logo Graphics Cpu Transparent Png




Verkeersdrempel 70mm km H Compleet 3 T M 6m Visser Assen




Denver E Scooter Thor Km H Zwart km Actieradius Voltana The Scootershop




Strain Before Rehabilitation With Truck Travelling At km H Download Scientific Diagram




Sg Prox3 Drone Quadcopter 2x 4k Hd Sony Camera 8mp Luxwallet




St John S Morning Show Another Sunny Fall Day Is In Store For St John S And Surrounding Area Temps Will Hit A High Of Degrees This Afternoon Winds Will Drop




Sustainability Free Full Text Analysis Of Spatial And Temporal Characteristics Of Citizens Mobility Based On E Bike Gps Trajectory Data In Tengzhou City China Html




Xiaomi Portable Electric Scooter Essential Lite Long Endurance Range Distance Dual Braking System Mi Home App Control km H Speed 8 5 Tires Outdoor Foldable Electric Scooter km Lazada Ph




Adult Electric Scooter Foldable Skateboard Folding Kick E Scooter 500w km H Us Sporting Goods Electric Scooters Romeinformation It




The Future Fox 40hm Of Temporary Cycle Lanes Have Been Introduced Into Brussels Along With A km H Speed Limit On The Adjacent Roads T Co D3u2iwoq27 T Co Lcgob1cjqe




Segway Ninebot Es1l Kick Scooter Max Speed km H Max Distance Km Dark Grey Heasgw0036 Ascent Nz




1 18 2 4g 4wd Classic Buggy Truck Max Speed km H Off Road Rc Car Rtr Stylish Radio Control Control Line Fzgil Rc Model Vehicles Kits




Skates Skateboards Scooters Helmets Svhestia Nl Pro Tec Classic Cut Helmet Red Metal Flake




Rear Axle km H Transmission 1 2 Wa90 6 S N H Up Komatsu Part Catalog




Kikioo 2 4g Rc Boat Remote Control km Hi H At The Price Waterproof Toy




Xiaomi Essential Electric Scooter 12kg Max Speed km H Scooters




A Car Travels From A To B At A Speed Of Km H And Returns Scholr




Virtual Digital Inputs




Exces De Vitesse Inferieur A km H Amende Perte De Points Sanctions Legipermis




Gifty Online Highspeed Remote Control Car 1 km H Speed




Panneau Km H Hd Png Download Transparent Png Image Pngitem




Circle Logo



Unicool German Standard 0 10 500w 600w 1000w Adjustable Speed km H Foldable Adult Electronic E Scooter Buy Foldable Electronic Scooter 1000w Electronic Scooters Electronic Scooter Adult Zero 10 Scooter Electronic Product On Alibaba Com




Km H High Res Stock Images Shutterstock
0 件のコメント:
コメントを投稿